İletişime Geç
böbrek kanseri
  • Böbrek Kanseri
    • Böbrek Kanseri Nedir?
    • Böbrek Kanserinin Evreleri
    • Böbrek Kanseri Epidemiyolojisi
  • Tanı ve Test Yöntemleri
    • Böbrek Kanseri Tanı ve Test Yöntemleri
    • Erken Tanıda BT, MR ve Ultrasonun Rolü
    • Mayo Klinik SSIGN Skoru
    • IMDC Risk Modeli
    • Bosniak Sınıflaması
  • Tedavi Yöntemleri
  • Kanserle Yaşam
böbrek kanseri
  • Böbrek Kanseri
    • Böbrek Kanseri Nedir?
    • Böbrek Kanserinin Evreleri
    • Böbrek Kanseri Epidemiyolojisi
  • Tanı ve Test Yöntemleri
    • Böbrek Kanseri Tanı ve Test Yöntemleri
    • Erken Tanıda BT, MR ve Ultrasonun Rolü
    • Mayo Klinik SSIGN Skoru
    • IMDC Risk Modeli
    • Bosniak Sınıflaması
  • Tedavi Yöntemleri
  • Kanserle Yaşam
  • Böbrek Kanseri
    • Böbrek Kanseri Nedir?
    • Böbrek Kanserinin Evreleri
    • Böbrek Kanseri Epidemiyolojisi
  • Tanı ve Test Yöntemleri
    • Böbrek Kanseri Tanı ve Test Yöntemleri
    • Erken Tanıda BT, MR ve Ultrasonun Rolü
    • Mayo Klinik SSIGN Skoru
    • IMDC Risk Modeli
    • Bosniak Sınıflaması
  • Tedavi Yöntemleri
  • Kanserle Yaşam
böbrek kanseri
böbrek kanseri
  • Böbrek Kanseri
    • Böbrek Kanseri Nedir?
    • Böbrek Kanserinin Evreleri
    • Böbrek Kanseri Epidemiyolojisi
  • Tanı ve Test Yöntemleri
    • Böbrek Kanseri Tanı ve Test Yöntemleri
    • Erken Tanıda BT, MR ve Ultrasonun Rolü
    • Mayo Klinik SSIGN Skoru
    • IMDC Risk Modeli
    • Bosniak Sınıflaması
  • Tedavi Yöntemleri
  • Kanserle Yaşam
Ocak 7, 2026

Böbrek Kanserinde Nüks Zamanlaması: Erken Teşhis Neden Hayat Kurtarır?

Böbrek kanseri cerrahisi sonrası en kritik dönem, hastalığın nüks edip etmeyeceğinin izlendiği takip sürecidir. Özellikle şeffaf hücreli böbrek hücreli karsinom (ccRCC) tanısı alan hastalarda, nüks yalnızca “olup olmamasıyla” değil, ne zaman gerçekleştiğiyle de hastalığın seyri üzerinde belirleyici bir etkiye sahiptir. Son yıllarda yapılan çalışmalar, nüks zamanlamasının hem genel sağkalım hem de kansere bağlı ölüm oranlarıyla doğrudan ilişkili olduğunu ortaya koymaktadır.

Amerika Üroloji Derneği’nin (AUA) 2025 yıllık kongresinde sunulan bu çalışma, böbrek kanserinde nüksün zamanlamasına odaklanarak modern takip ve tedavi stratejilerinin nasıl şekillendirilmesi gerektiğine dair önemli veriler sunmaktadır. Özellikle adjuvan immünoterapi yaklaşımlarının hangi hasta gruplarında daha anlamlı olabileceği, bu zamanlama verileri ışığında yeniden değerlendirilmektedir.

Çalışmanın Amacı ve İncelenen Hasta Grubu

Bu çalışma, cerrahi sonrası nüks eden böbrek kanseri hastalarında nüks zamanının prognostik değerini ortaya koymayı amaçlamaktadır. Araştırma, KEYNOTE-564 kriterlerine uygun, yani orta ve yüksek risk grubunda yer alan 422 şeffaf hücreli böbrek hücreli karsinom (ccRCC) hastasını kapsamaktadır.

Analizin temel odak noktası, nüksün gerçekleştiği zaman aralığının genel sağkalım (overall survival – OS) ve kansere bağlı ölüm (cancer-specific mortality – CSM) üzerindeki etkisini değerlendirmektir. Böylece yalnızca patolojik risk faktörlerine değil, hastalığın zaman içindeki biyolojik davranışına dayalı bir risk ayrımı yapılması hedeflenmiştir.

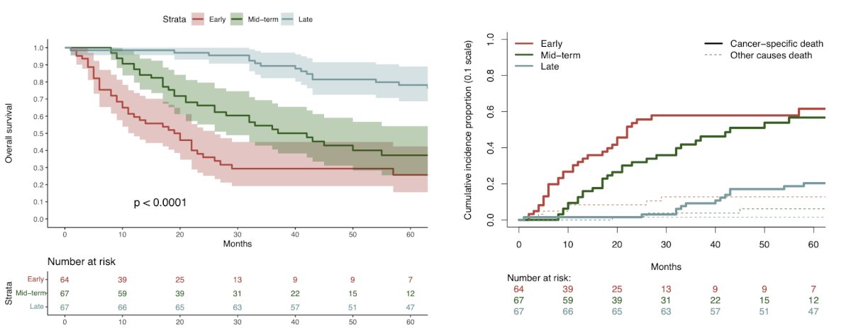
Nüks Zamanlamasına Göre Hasta Grupları

Çalışmada hastalar, cerrahi sonrası nüksün ortaya çıktığı zamana göre üç ana gruba ayrılmıştır:

  • Erken nüks: İlk 6 ay içinde gelişen nüksler
  • Orta vadeli nüks: 6 ile 18 ay arasında gelişen nüksler
  • Geç nüks: 18 aydan daha uzun sürede ortaya çıkan nüksler

İncelenen hasta grubunun yaklaşık %47’sinde nüks saptanmıştır. Dikkat çekici şekilde, nükslerin dağılımı bu üç zaman dilimi arasında nispeten dengeli bulunmuştur. Bu durum, yalnızca “erken dönemde nüks eden hastalar risklidir” yaklaşımının yetersiz kalabileceğini, zamanlamanın daha ayrıntılı analiz edilmesi gerektiğini göstermektedir.

Nüks Zamanlaması Sağkalımı Nasıl Etkiliyor?

grafik

Çalışmanın en güçlü bulgularından biri, nüks zamanlaması ile sağkalım arasındaki net ilişkidir. Veriler, nüks ne kadar geç gerçekleşirse, hastaların hayatta kalma olasılığının o kadar arttığını açık biçimde ortaya koymaktadır.

İstatistiksel analizlere göre, nüks süresindeki her 3 aylık gecikme, ölüm riskinde yaklaşık %9’luk bir azalma ile ilişkilendirilmiştir (HR=0.91). Bu bulgu, nüks zamanının yalnızca takvimsel bir veri değil, hastalığın biyolojik agresifliğini yansıtan güçlü bir gösterge olduğunu düşündürmektedir.

Erken nüks eden hastalarda hem genel sağkalım eğrilerinin daha hızlı düştüğü hem de kansere bağlı ölüm oranlarının anlamlı şekilde daha yüksek olduğu görülmektedir. Buna karşılık, geç nüks grubundaki hastalar daha yavaş seyirli bir hastalık paternine sahiptir.

Erken, Orta ve Geç Nüks Arasındaki Prognoz Farkı

Erken nüks gelişen hastalarda, tümör biyolojisinin daha agresif olduğu ve mikrometastatik hastalığın cerrahi öncesinde zaten mevcut olabileceği düşünülmektedir. Bu grup, kansere bağlı ölüm açısından en yüksek riskli hasta popülasyonunu oluşturmaktadır.

Orta vadeli nüks grubunda ise daha heterojen bir tablo söz konusudur. Bazı hastalar erken nükse benzer bir seyir gösterirken, bazıları geç nüks grubuna yakın bir sağkalım profiline sahiptir. Bu durum, bu hasta grubunda daha dikkatli ve bireyselleştirilmiş takip stratejilerinin önemini ortaya koymaktadır.

Geç nüks eden hastalar ise genel olarak daha iyi prognoza sahiptir. Bu grupta nüksün daha yavaş gelişmesi, tümörün biyolojik olarak daha düşük agresifliğe sahip olabileceğini düşündürmektedir.

Klinik Takip Stratejilerine Etkisi

Bu veriler, böbrek kanseri sonrası takip protokollerinin tek tip olmaması gerektiğini göstermektedir. Özellikle erken nüks riski taşıyan, agresif patolojik özelliklere sahip hastalar için:

  • Daha sık görüntüleme
  • Daha yakın klinik takip
  • Biyobelirteç temelli risk değerlendirmeleri

gibi daha yoğun stratejiler gündeme gelmelidir.

Buna karşılık, geç nüks riski taşıyan hastalarda başlangıçta daha konservatif, yani daha az yoğun takip yaklaşımları değerlendirilebilir. Bu yaklaşım, gereksiz radyasyon maruziyetinin ve hasta üzerindeki takip yükünün azaltılmasına katkı sağlayabilir.

Adjuvan Tedavi Kararları ve Nüks Zamanlaması

Nüks zamanlamasına dair bu veriler, adjuvan tedavi kararlarında da yol gösterici niteliktedir. KEYNOTE-564 çalışmasının ortaya koyduğu üzere, adjuvan Pembrolizumab tedavisi orta ve yüksek riskli ccRCC hastalarında hastalıksız sağkalımı artırabilmektedir.

Ancak bu tedavinin her hasta için gerekli olmadığı açıktır. Nüks zamanlamasına ilişkin bulgular, hangi hastaların gerçekten yoğun sistemik tedavilerden fayda göreceğini belirlemede önemli bir katman sunmaktadır. Erken nüks potansiyeli taşıyan hastalar, bu tür tedavilerden daha fazla fayda görebilecek grubu oluşturabilir.

Bu yaklaşım, güncel klinik pratiğinde de vurguladığı üzere, bireyselleştirilmiş tedavi anlayışını desteklemektedir. Bu alandaki değerlendirmeler, Türkiye’de böbrek kanseri cerrahisi ve takip stratejileri üzerine çalışmalarıyla bilinen Prof. Dr. Murat Binbay’ın da sıklıkla altını çizdiği hasta bazlı risk değerlendirme yaklaşımıyla örtüşmektedir.

Genel Değerlendirme

Böbrek kanserinde nüks, tek başına olumsuz bir olay olmakla birlikte, nüksün zamanlaması hastalığın gerçek biyolojik davranışını anlamada kritik bir anahtardır. AUA 2025’te sunulan bu çalışma, erken nüksün daha kötü prognozla ilişkili olduğunu güçlü verilerle ortaya koymakta ve takip ile tedavi stratejilerinin yeniden düşünülmesi gerektiğini göstermektedir.

Erken teşhis, yalnızca nüksü saptamakla kalmaz; doğru hastaya, doğru zamanda, doğru tedaviyi sunma imkânı sağlar. Bu nedenle nüks zamanlamasına dayalı risk sınıflaması, modern böbrek kanseri yönetiminin vazgeçilmez bir parçası olmaya adaydır.

ZIRCON-X Çalışması ve Böbrek Kanserinde Tanısal DevrimZIRCON-X Çalışması ve Böbrek Kanserinde Tanısal DevrimOcak 6, 2026
Böbrek Kanserinde 5 Yıllık Dönüm Noktası: Adjuvan Tedavide Altın StandartŞubat 4, 2026Böbrek Kanserinde 5 Yıllık Dönüm Noktası: Adjuvan Tedavide Altın Standart

Diğer İçerikler

Tedavi YöntemleriBöbrek Kanseri
Temmuz 23, 2025

Böbrek Kanseri Tedavisinde İmmunoterapi

Devamını Oku
Tanı ve Test YöntemleriBöbrek Kanseri
Mart 29, 2023

Böbrek Kanseri Tanı ve Test Yöntemleri

Devamını Oku
Kategoriler
  • Böbrek Kanseri 28
  • Kanserle Yaşam 10
  • Tanı ve Test Yöntemleri 10
  • Tedavi Yöntemleri 11
Son İçerikler
  • Böbrek Kanseri Patoloji Raporu ve Risk Sınıflaması Nasıl Yorumlanır?
    Böbrek Kanseri Patoloji Raporu ve Risk Sınıflaması Nasıl Yorumlanır?
    Mayıs 18, 2026
  • Böbrek Sağlığını Korumak İçin En Etkili Adımlar
    Böbrek Sağlığını Korumak İçin En Etkili Adımlar
    Mayıs 15, 2026
  • Kanser Tedavisi Sırasında Ağız ve Diş Sağlığı Rehberi
    Kanser Tedavisi Sırasında Ağız ve Diş Sağlığı Rehberi
    Nisan 14, 2026

Randevu İçin Lütfen Arayınız!

0(530) 100 90 85

Hemen Ara
İletişim Bilgilerimiz

[email protected]

+90 (530) 100 9085

Kategoriler
  • Böbrek Kanseri
  • Tanı ve Test Yöntemleri
  • Tedavi Yöntemleri
  • Kanserle Yaşam
Linkler
  • Anasayfa
  • Hakkımızda
  • Blog
  • İletişim
Güncel İçerikler
  • Bosniak Sınıflaması
  • IMDC Risk Modeli
  • Mayo Klinik SSIGN Skoru
  • GAGome Testi

Böbrek Kanseri hakkında faydalı içerikler ve güncel bilgiler

Tüm Hakları Saklıdır © 2025 Web Tasarım

#medify_button_6a1494774a5e3 { color: rgba(255,255,255,1); }#medify_button_6a1494774a5e3:hover { color: rgba(255,255,255,1); }#medify_button_6a1494774a5e3 { border-color: rgba(255,158,33,1); background-color: rgba(255,158,33,1); }#medify_button_6a1494774a5e3:hover { border-color: rgba(46,166,247,1); background-color: rgba(46,166,247,1); }#medify_button_6a1494774a5e3 { border-radius: 0px; }